Номер 904 - ГДЗ Алгебра 8 класс. Мерзляк, Полонский. Учебник. Страница 224

Вернуться к содержанию учебника

Упражнения для повторения курса алгебры 8 класса. Страница 224

901 902 903 904 905 906 907

Вопрос

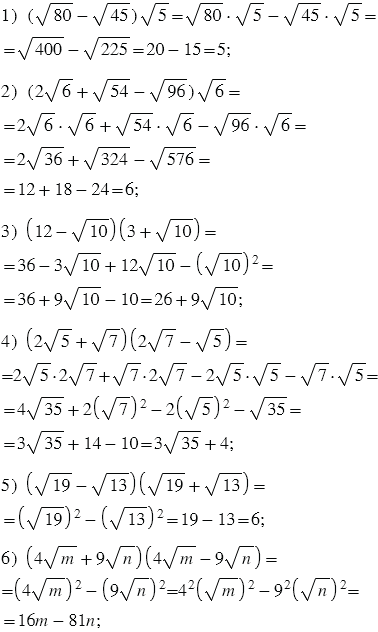
Выполните умножение:

Подсказка

Ответ


Вернуться к содержанию учебника