Номер 909 - ГДЗ Алгебра 8 класс. Мерзляк, Полонский. Учебник. Страница 225

Вернуться к содержанию учебника

Упражнения для повторения курса алгебры 8 класса. Страница 225

906 907 908 909 910 911 912

Вопрос

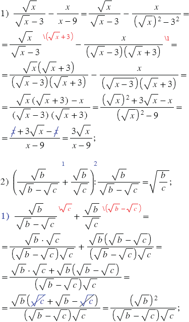
Упростите выражение:

Подсказка

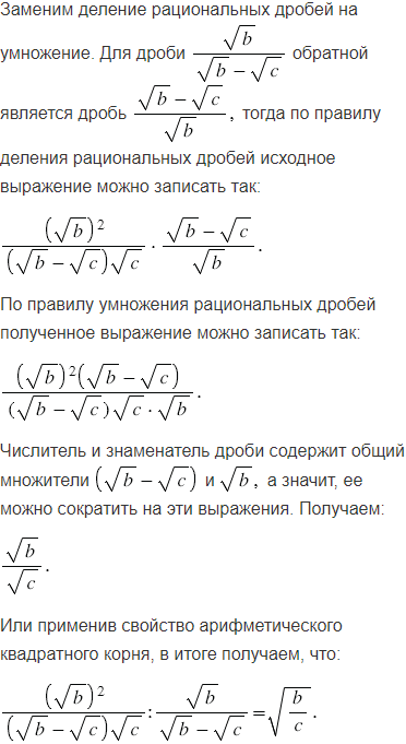
Ответ


Вернуться к содержанию учебника