Номер 906 - ГДЗ Алгебра 8 класс. Мерзляк, Полонский. Учебник. Страница 224

Вернуться к содержанию учебника

Упражнения для повторения курса алгебры 8 класса. Страница 224

903 904 905 906 907 908 909

Вопрос

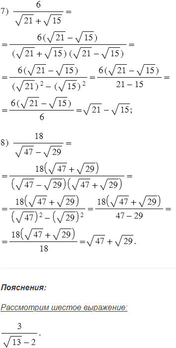
Освободитесь от иррациональности в знаменателе дроби:

Подсказка

Ответ


Вернуться к содержанию учебника