Номер 905 - ГДЗ Алгебра 8 класс. Мерзляк, Полонский. Учебник. Страница 224

Вернуться к содержанию учебника

Упражнения для повторения курса алгебры 8 класса. Страница 224

902 903 904 905 906 907 908

Вопрос

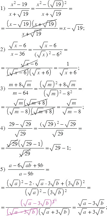
Сократите дробь:

Подсказка

Ответ


Вернуться к содержанию учебника