Номер 681 - ГДЗ Алгебра 7 класс. Мерзляк, Полонский. Учебник. Страница 119

Вернуться к содержанию учебника

Страница 119

678 679 680 681 682 683 684

Вопрос

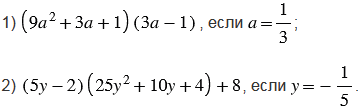
Упростите выражение и найдите его значение:

Подсказка

Ответ


Вернуться к содержанию учебника