Номер 676 - ГДЗ Алгебра 7 класс. Мерзляк, Полонский. Учебник. Страница 118

Вернуться к содержанию учебника

Страница 118

673 674 675 676 677 678 679

Вопрос

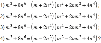
Какое из данных равенств является тождеством:

Подсказка

Вспомните:

  1. Что называют тождеством.
  2. Чему равна сумма кубов двух выражений.
  3. Степень с натуральным показателем.
  4. Свойства степени с натуральным показателем.

Ответ


Вернуться к содержанию учебника