Номер 677 - ГДЗ Алгебра 7 класс. Мерзляк, Полонский. Учебник. Страница 119

Вернуться к содержанию учебника

Страница 119

674 675 676 677 678 679 680

Вопрос

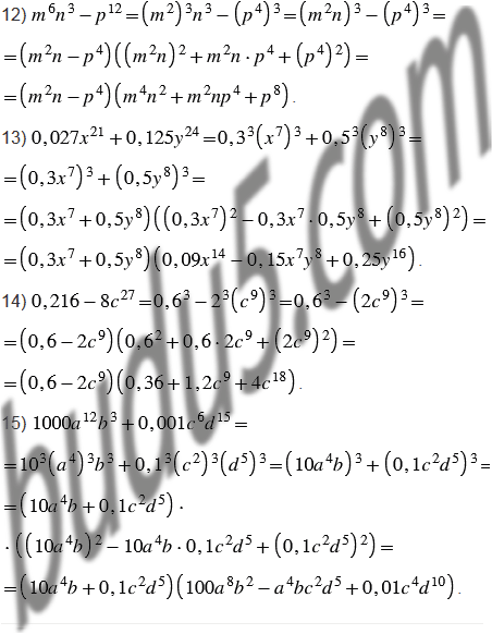
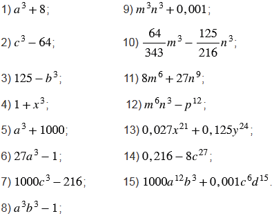
Разложите на множители:

Подсказка

Ответ


Вернуться к содержанию учебника