Номер 678 - ГДЗ Алгебра 7 класс. Мерзляк, Полонский. Учебник. Страница 119

Вернуться к содержанию учебника

Страница 119

675 676 677 678 679 680 681

Вопрос

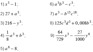
Разложите на множители:

Подсказка

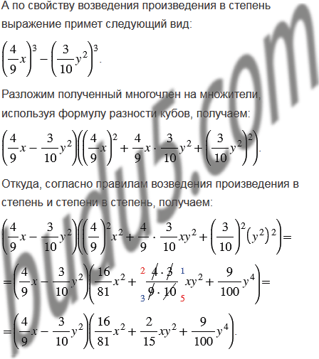
Ответ


Вернуться к содержанию учебника