Номер 680 - ГДЗ Алгебра 7 класс. Мерзляк, Полонский. Учебник. Страница 119

Вернуться к содержанию учебника

Страница 119

677 678 679 680 681 682 683

Вопрос

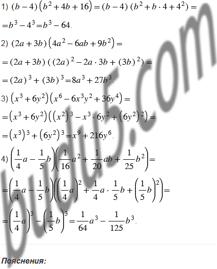
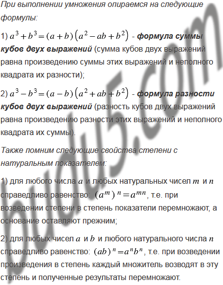
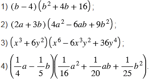
Выполните умножение:

Подсказка

Ответ


Вернуться к содержанию учебника