Номер 922 - ГДЗ Алгебра 8 класс. Мерзляк, Полонский. Учебник. Страница 226

Вернуться к содержанию учебника

Упражнения для повторения курса алгебры 8 класса. Страница 226

919 920 921 922 923 924 925

Вопрос

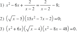
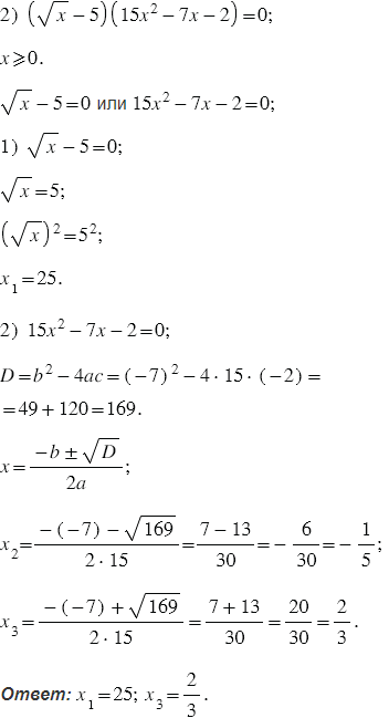
Решите уравнение:

Подсказка

Вспомните:

  1. Что такое уравнение.
  2. Решение уравнений.
  3. Что такое корень уравнения.
  4. Какое уравнение называют квадратным.
  5. Какое выражение называют дискриминантом квадратного уравнения.
  6. Формулу корней квадратного уравнения.
  7. Сложение, вычитание, умножение и деление рациональных чисел.
  8. Что такое арифметический квадратный корень.

Ответ


Вернуться к содержанию учебника