Номер 920 - ГДЗ Алгебра 8 класс. Мерзляк, Полонский. Учебник. Страница 226

Вернуться к содержанию учебника

Упражнения для повторения курса алгебры 8 класса. Страница 226

917 918 919 920 921 922 923

Вопрос

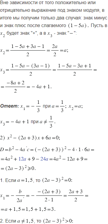
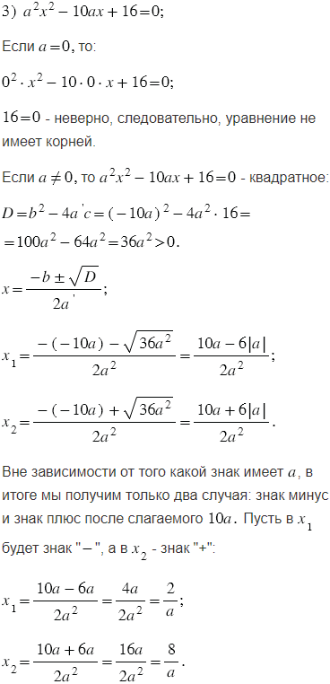
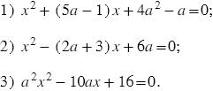
Для каждого значения решите уравнение:

Подсказка

Вспомните:

  1. Что такое уравнение.
  2. Что такое корень уравнения.
  3. Какое уравнение называют квадратным.
  4. Какое выражение называют дискриминантом квадратного уравнения.
  5. Формулу корней квадратного уравнения.
  6.  Сложение, вычитание, умножение и деление рациональных чисел.
  7. Модуль числа.

Ответ


Вернуться к содержанию учебника