Номер 917 - ГДЗ Алгебра 8 класс. Мерзляк, Полонский. Учебник. Страница 225

Вернуться к содержанию учебника

Упражнения для повторения курса алгебры 8 класса. Страница 225

914 915 916 917 918 919 920

Вопрос

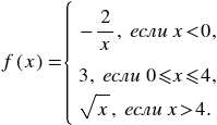
Дана функция

1) Найдите

2) Постройте график данной функции.

Подсказка

Ответ


Вернуться к содержанию учебника