Номер 596 - ГДЗ Алгебра 7 класс. Мерзляк, Полонский. Учебник. Страница 106

Вернуться к содержанию учебника

Страница 106

593 594 595 596 597 598 599

Вопрос

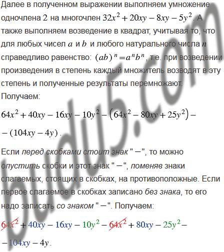
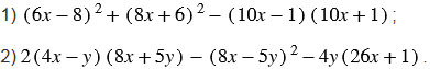
Докажите, что значение выражения не зависит от значения переменной :

Подсказка

Ответ


Вернуться к содержанию учебника