Номер 612 - ГДЗ Алгебра 8 класс. Мерзляк, Полонский. Учебник. Страница 150

Вернуться к содержанию учебника

Упражнения §18. Страница 150

609 610 611 612 613 614 615

Вопрос

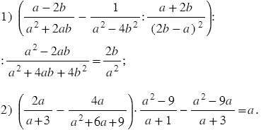
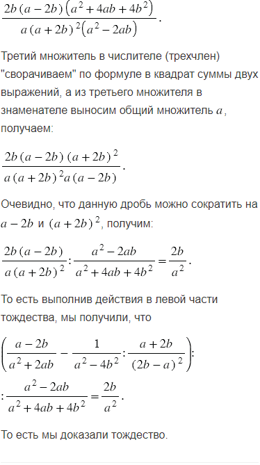
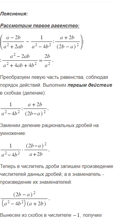
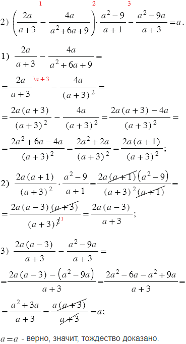
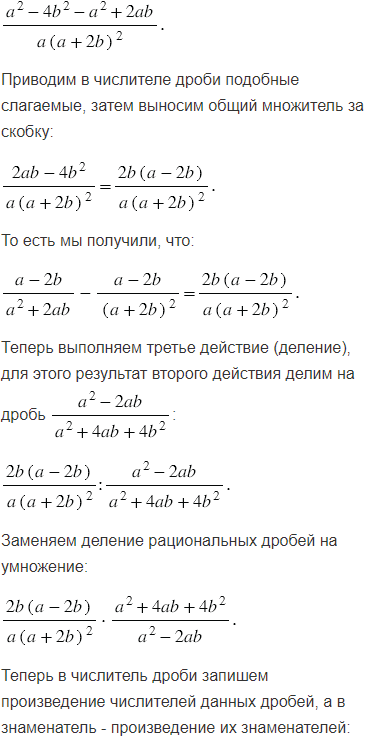
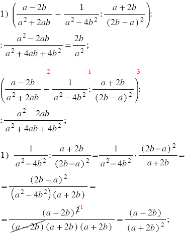
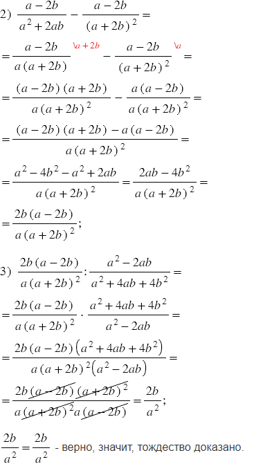
Докажите тождество:

Подсказка

Ответ


Вернуться к содержанию учебника