Вернуться к содержанию учебника
Упражнения §18. Страница 148
591 592 593 594 595 596 597 598 599 600 601
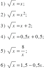
Решите графически уравнение:
Вспомните: