Номер 594 - ГДЗ Алгебра 8 класс. Мерзляк, Полонский. Учебник. Страница 148

Вернуться к содержанию учебника

Упражнения §18. Страница 148

591 592 593 594 595 596 597

Вопрос

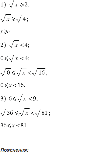
При каких значениях выполняется неравенство:

Подсказка

Ответ


Вернуться к содержанию учебника