Номер 224 - ГДЗ Алгебра 8 класс. Мерзляк, Полонский. Учебник. Страница 58

Вернуться к содержанию учебника

Упражнения § 7. Страница 58

221 222 223 224 225 226 227

Вопрос

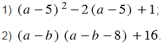
Докажите, что при любом значении переменной (переменных) выражение принимает неотрицательное значение:

Подсказка

Вспомните:

  1. Формулу квадрата разности двух выражений.
  2. Умножение многочлена на многочлен.
  3. Степень с натуральным показателем.
  4. Положительные и отрицательные числа.
  5. Сложение рациональных чисел.
  6. Вычитание рациональных чисел.

Ответ


Вернуться к содержанию учебника