Номер 202 - ГДЗ Алгебра 8 класс. Мерзляк, Полонский. Учебник. Страница 48

Вернуться к содержанию учебника

Упражнения § 6. Страница 48

199 200 201 202 203 204 1

Вопрос

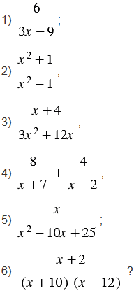
При каком значении переменной не имеет смысла выражение:

Подсказка

Ответ


Вернуться к содержанию учебника