Номер 86 - ГДЗ Алгебра 8 класс. Мерзляк, Полонский. Учебник. Страница 23

Вернуться к содержанию учебника

Упражнения § 3. Страница 23

83 84 85 86 87 88 89

Вопрос

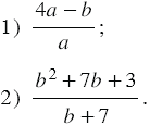
Представьте данную дробь в виде суммы или разности целого и дробного выражений:

Подсказка

Вспомните:

  1. Какие дроби называют рациональными.
  2. Какие выражения называются дробными, а какие целыми.
  3. Сокращение рациональной дроби.
  4. Правило вычитания рациональных дробей с одинаковыми знаменателями.
  5. Правило сложения рациональных дробей с одинаковыми знаменателями.
  6. Правила сложения и вычитания рациональных чисел.
  7. Свойства степени с натуральным показателем.

Ответ


Вернуться к содержанию учебника