Номер 84 - ГДЗ Алгебра 8 класс. Мерзляк, Полонский. Учебник. Страница 23

Вернуться к содержанию учебника

Упражнения § 3. Страница 23

81 82 83 84 85 86 87

Вопрос

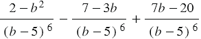
Докажите, что при всех допустимых значениях переменной выражение принимает отрицательные значения.

Подсказка

Ответ


Вернуться к содержанию учебника