Номер 1129 - ГДЗ Алгебра 7 класс. Мерзляк, Полонский. Учебник. Страница 222

Вернуться к содержанию учебника

Страница 222

1126 1127 1128 1129 1130 1131 1132

Вопрос

Постройте график функции:

Подсказка

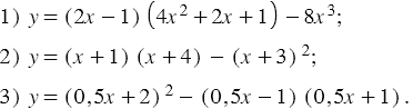
Ответ


Вернуться к содержанию учебника