Номер 874 - ГДЗ Алгебра 7 класс. Мерзляк, Полонский. Учебник. Страница 169

Вернуться к содержанию учебника

Страница 169

871 872 873 874 875 876 877

Вопрос

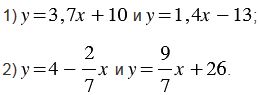
Не выполняя построения, найдите координаты точек пересечения графиков функций:

Подсказка

Ответ


Вернуться к содержанию учебника