Номер 871 - ГДЗ Алгебра 7 класс. Мерзляк, Полонский. Учебник. Страница 169

Вернуться к содержанию учебника

Страница 169

868 869 870 871 872 873 874

Вопрос

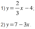
Не выполняя построения, найдите координаты точек пересечения с осями координат графика функции:

Подсказка

Ответ


Вернуться к содержанию учебника