Номер 650 - ГДЗ Алгебра 7 класс. Мерзляк, Полонский. Учебник. Страница 113

Вернуться к содержанию учебника

Страница 113

647 648 649 650 651 652 653

Вопрос

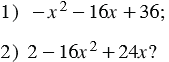
Какое наибольшее значение и при каком значении переменной принимает выражение:

Подсказка

Ответ


Вернуться к содержанию учебника