Номер 460 - ГДЗ Алгебра 7 класс. Мерзляк, Полонский. Учебник. Страница 85

Вернуться к содержанию учебника

Страница 85

457 458 459 460 461 462 463

Вопрос

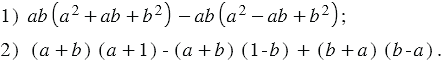
Упростите выражение, используя вынесение общего множителя за скобки:

Подсказка

Ответ


Вернуться к содержанию учебника