Номер 457 - ГДЗ Алгебра 7 класс. Мерзляк, Полонский. Учебник. Страница 85

Вернуться к содержанию учебника

Страница 85

454 455 456 457 458 459 460

Вопрос

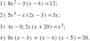
Решите уравнение:

Подсказка

Ответ


Вернуться к содержанию учебника