Номер 891 - ГДЗ Алгебра 8 класс. Мерзляк, Полонский. Учебник. Страница 222

Вернуться к содержанию учебника

Упражнения для повторения курса алгебры 8 класса. Страница 222

888 889 890 891 892 893 894

Вопрос

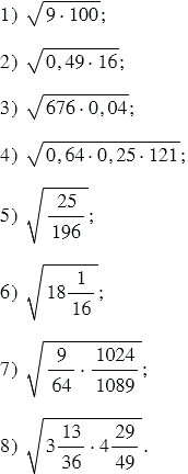
Найдите значение корня:

Подсказка

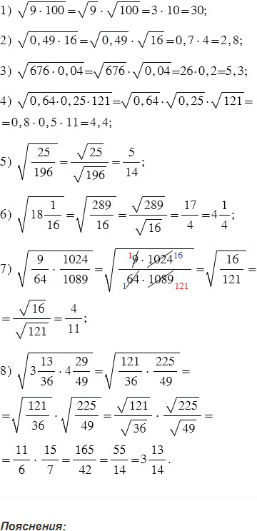
Ответ


Вернуться к содержанию учебника