Номер 849 - ГДЗ Алгебра 8 класс. Мерзляк, Полонский. Учебник. Страница 216

Вернуться к содержанию учебника

Упражнения для повторения курса алгебры 8 класса. Страница 216

846 847 848 849 850 851 852

Вопрос

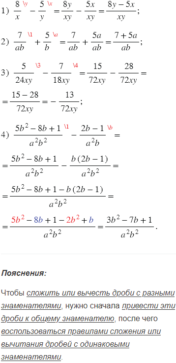
Выполните действия:

Подсказка

Ответ


Вернуться к содержанию учебника