Вернуться к содержанию учебника
Упражнения §22. Страница 185
752 753 754 755 756 757 758 759 760 761 762
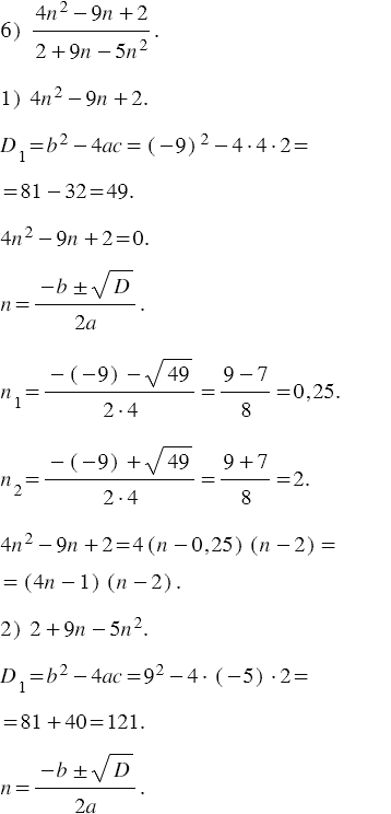
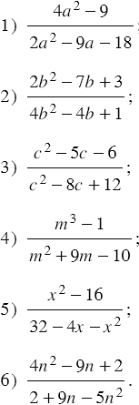
Сократите дробь:
Вспомните: