Номер 621 - ГДЗ Алгебра 8 класс. Мерзляк, Полонский. Учебник. Страница 160

Вернуться к содержанию учебника

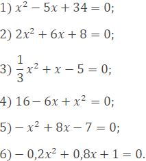
Упражнения §19. Страница 160

618 619 620 621 622 623 624

Вопрос

Укажите, какие из данных уравнений являются приведенными, и преобразуйте неприведённые уравнения в приведённые:

Подсказка

Вспомните:

  1. Что такое уравнение.
  2. Решение уравнений.
  3. Какое уравнение называют квадратным.
  4. Как называют коэффициенты квадратного уравнения.
  5. Какое квадратное уравнение называют приведённым.

Ответ


Вернуться к содержанию учебника