Номер 602 - ГДЗ Алгебра 8 класс. Мерзляк, Полонский. Учебник. Страница 149

Вернуться к содержанию учебника

Упражнения §18. Страница 149

599 600 601 602 603 604 605

Вопрос

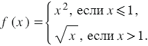
Дана функция

1) Найдите:

2) Постройте график данной функции.

Подсказка

Вспомните:

  1. Координаты точки.
  2. Что называют функцией.
  3. Что называют графиком функции.
  4. Функцию и ее график.
  5. Функцию y=x2 и её график.
  6. Что такое арифметический квадратный корень.

Ответ


Вернуться к содержанию учебника