Номер 541 - ГДЗ Алгебра 8 класс. Мерзляк, Полонский. Учебник. Страница 138

Вернуться к содержанию учебника

Упражнения §17. Страница 138

538 539 540 541 542 543 544

Вопрос

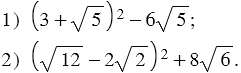
Найдите значение выражения:

Подсказка

Ответ


Вернуться к содержанию учебника