Номер 208 - ГДЗ Алгебра 8 класс. Мерзляк, Полонский. Учебник. Страница 56

Вернуться к содержанию учебника

Упражнения § 7. Страница 56

205 206 207 208 209 210 211

Вопрос

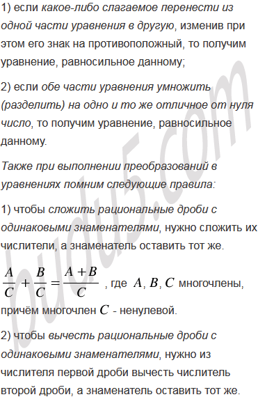
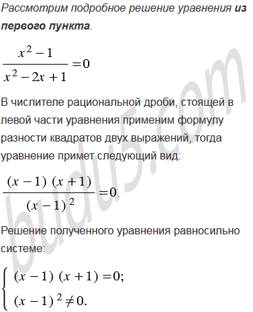
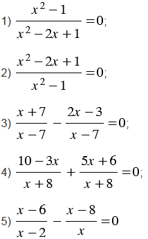
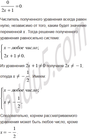
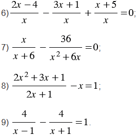
Решите уравнение:

Подсказка

Ответ


Вернуться к содержанию учебника