Номер 166 - ГДЗ Алгебра 8 класс. Мерзляк, Полонский. Учебник. Страница 40

Вернуться к содержанию учебника

Упражнения § 5. Страница 40

163 164 165 166 167 168 169

Вопрос

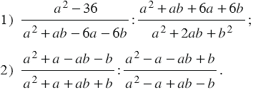
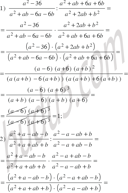
Упростите выражение:

Подсказка

Ответ


Вернуться к содержанию учебника