Номер 416 - ГДЗ Алгебра 7 класс. Мерзляк, Полонский. Учебник. Страница 78

Вернуться к содержанию учебника

Страница 78

413 414 415 416 417 418 419

Вопрос

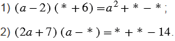
Замените звездочки такими одночленами, чтобы образовалось тождество:

Подсказка

Вспомните:

  1. Что называют тождеством.
  2. Что называют многочленом.
  3. Как умножить многочлен на многочлен.
  4. Как умножить одночлен на одночлен.
  5. Подобные слагаемые, приведение подобных слагаемых.
  6. Правила сложения рациональных чисел.
  7. Правила умножения рациональных чисел.
  8. Противоположные числа.
  9. Модуль числа.
  10. Степень с натуральным показателем.
  11. Свойства степени с натуральным показателем.

Ответ


Вернуться к содержанию учебника