Номер 241 - ГДЗ Алгебра 7 класс. Мерзляк, Полонский. Учебник. Страница 49

Вернуться к содержанию учебника

Страница 49

238 239 240 241 242 243 244

Вопрос

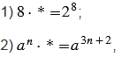
Замените звездочку такой степенью, чтобы выполнялось равенство:

где - натуральное число.

Подсказка

Вспомните:

  1. Что называют степенью числа с натуральным показателем.
  2. Как умножить и разделить степени с одинаковыми основаниями.
  3. Как найти неизвестный множитель.

Ответ


Вернуться к содержанию учебника