Номер 217 - ГДЗ Алгебра 7 класс. Мерзляк, Полонский. Учебник. Страница 47

Вернуться к содержанию учебника

Страница 47

214 215 216 217 218 219 220

Вопрос

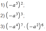
Упростите выражение:

Подсказка

Вспомните:

  1. Что называют степенью числа с натуральным показателем.
  2. Как умножить степени с одинаковыми основаниями, как возвести произведение в степень и как возвести степень в степень.
  3. Четные и нечетные числа.
  4. Правила умножения рациональных чисел.
  5. Противоположные числа.

Ответ


Вернуться к содержанию учебника