Номер 61 - ГДЗ Алгебра 7 класс. Мерзляк, Полонский. Учебник. Страница 18

Вернуться к содержанию учебника

Страница 18

58 59 60 61 62 63 64

Вопрос

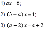
При каком значении уравнение:

не имеет корней?

Подсказка

Вспомните:

  1. Что такое корень уравнения.
  2. Линейные уравнения, количество корней линейного уравнения.

Ответ


Вернуться к содержанию учебника