Номер 55 - ГДЗ Алгебра 7 класс. Мерзляк, Полонский. Учебник. Страница 17

Вернуться к содержанию учебника

Страница 17

52 53 54 55 56 57 58

Вопрос

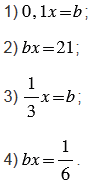
Укажите какое-либо значение , при котором будет целым числом корень уравнения:

Подсказка

Ответ


Вернуться к содержанию учебника