Номер 1. Рациональные числа и действия над ними. Решаем устно § 46 - ГДЗ Математика 6 класс. Мерзляк, Полонский. Учебник. Страница 274

Вернуться к содержанию учебника

Рациональные числа и действия над ними. Решаем устно § 46. Страница 274

8 9 10 1 2 3 4

Вопрос

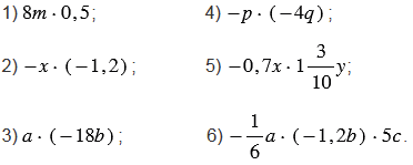
Найдите коэффициент выражения:

Подсказка

Ответ

8 9 10 1 2 3 4


Вернуться к содержанию учебника