Номер 1063 - ГДЗ Математика 6 класс. Мерзляк, Полонский. Учебник. Страница 226

Вернуться к содержанию учебника

Страница 226

1060 1061 1062 1063 1064 1065 1066

Вопрос

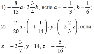
Упростите выражение и найдите его значение:

Подсказка

Вспомните:

  1. Буквенные выражения.
  2. Свойства действий с рациональными числами, коэффициент.
  3. Правила умножения рациональных чисел.
  4. Модуль числа.
  5. Умножение обыкновенных дробей.
  6. Сокращение дробей.
  7. Смешанные числа.
  8. Неправильные дроби.

Ответ


Вернуться к содержанию учебника