Номер 1055 - ГДЗ Математика 6 класс. Мерзляк, Полонский. Учебник. Страница 225

Вернуться к содержанию учебника

Страница 225

1052 1053 1054 1055 1056 1057 1058

Вопрос

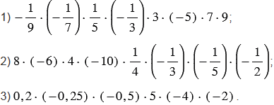
Выполните умножение:

Подсказка

Вспомните:

  1. Свойства действий с рациональными числами.
  2. Взаимно обратные числа.
  3. Умножение рациональных чисел.
  4. Десятичные дроби.
  5. Четные и нечетные числа.

Ответ


Вернуться к содержанию учебника