Номер 453 - ГДЗ Математика 6 класс. Мерзляк, Полонский. Учебник. Страница 86

Вернуться к содержанию учебника

Страница 86

450 451 452 453 454 455 456

Вопрос

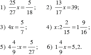
Решите уравнение:

Подсказка

Вспомните:

  1. Обыкновенные дроби.
  2. Десятичная запись дробных чисел.
  3. Смешанные числа.
  4. Умножение дробей и смешанных чисел.
  5. Деление дробей и смешанных чисел.
  6. Какие числа называют взаимно обратными.
  7. Сокращение дробей.
  8. Как решать уравнения.

Ответ


Вернуться к содержанию учебника